Sabbatical Agreement Template

If you are looking for Sabbatical Agreement Template you have come to the right place. We have many more template about Sabbatical Agreement Template including template, printable, photos, wallpapers, and more. In these page, we also have variety of images available. Such as pdf, jpg, animated gifs, pic art, logo, black and white, transparent, etc.

Paid Sabbatical Leave Policy

Sabbatical Leave Memorandum Of Agreement

Request For Approval To Conduct Research Away From Hhmi

2 8 Faculty Development Policy And Procedure Manual

Is It Really Worth It To Take A Sabbatical

Download Leave Of Absence Agreement Style 5 Template For

Taking A Career Break From Work Jobsite Worklife

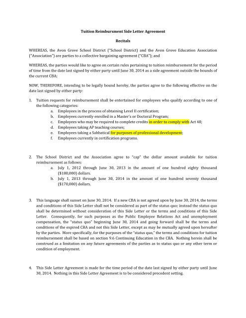
Tuition Reimbursment Side Letter Agreement Recitals Whereas

Benefits

Termination Of Employment Wikipedia

Wedding Photography Template Contract The Legal Paige

Sabbatical Leave Memorandum Of Agreement

Severance Pay Package 6 Things To Consider 6 Things To

Hr Information For Faculty Penn State College Of

The Ultimate Guide To Taking A Travel Career Break Career


0 Response to "Sabbatical Agreement Template"

Post a Comment